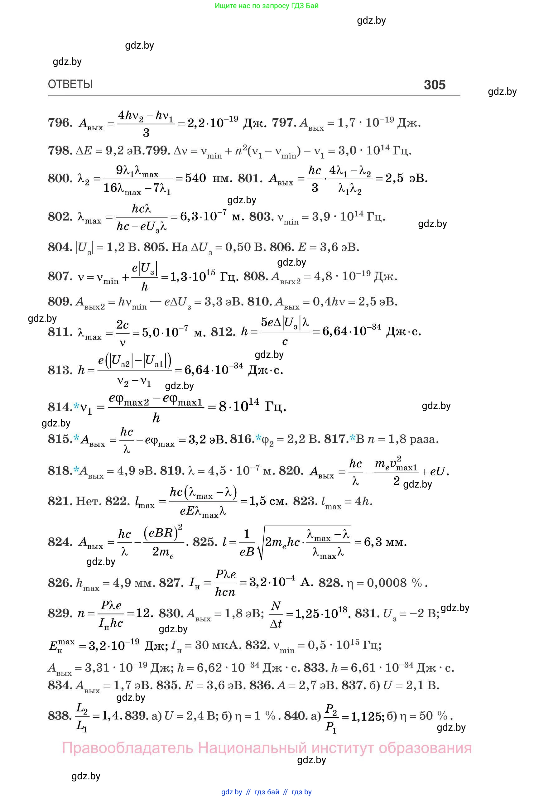
Страница 306 - гдз по физике 11 класс сборник задач Дорофейчик, Силенков

Физика, 11 класс Сборник задач, авторы: Дорофейчик Владимир Владимирович, Силенков Михаил Анатольевич, издательство Национальный институт образования, Минск, 2023

Авторы: Дорофейчик В. В., Силенков М. А.

Тип: Сборник задач

Издательство: Национальный институт образования

Год издания: 2023 - 2025

Уровень обучения: базовый и повышенный

ISBN: 978-985-893-272-5

Допущено Министерством образования Республики Беларусь

Популярные ГДЗ в 11 классе

Cтраница 306

Физика, 11 класс Сборник задач, авторы: Дорофейчик Владимир Владимирович, Силенков Михаил Анатольевич, издательство Национальный институт образования, Минск, 2023, страница 306
Ваш номер не отображается здесь?
Такое бывает: задание могло начаться на предыдущей или следующей странице.

Помогло решение? Оставьте отзыв в комментариях ниже.

Присоединяйтесь к Телеграм-группе @gdz_by_belarus

Присоединиться