Номер 2, страница 122, часть 1 - гдз по математике 4 класс учебник Муравьева, Урбан

Математика, 4 класс Учебник, авторы: Муравьева Галина Леонидовна, Урбан Мария Анатольевна, издательство Национальный институт образования, Минск, 2022, розового цвета, часть 1

Авторы: Муравьева Г. Л., Урбан М. А.

Тип: Учебник

Издательство: Национальный институт образования

Год издания: 2022 - 2025

Часть: 1

Цвет обложки: розовый с учениками

ISBN: 978-985-893-051-6 (общ.), 978-985-893-052-3 (ч. 1), 978-985-594-010-5 (ч. 2)

Допущено Министерством просвещения Российской Федерации

Популярные ГДЗ в 4 классе

Часть 1. Сложение и вычитание. Урок 61 - номер 2, страница 122.

№2 (с. 122)
Условие. №2 (с. 122)
скриншот условия
Математика, 4 класс Учебник, авторы: Муравьева Галина Леонидовна, Урбан Мария Анатольевна, издательство Национальный институт образования, Минск, 2022, розового цвета, Часть 1, страница 122, номер 2, Условие

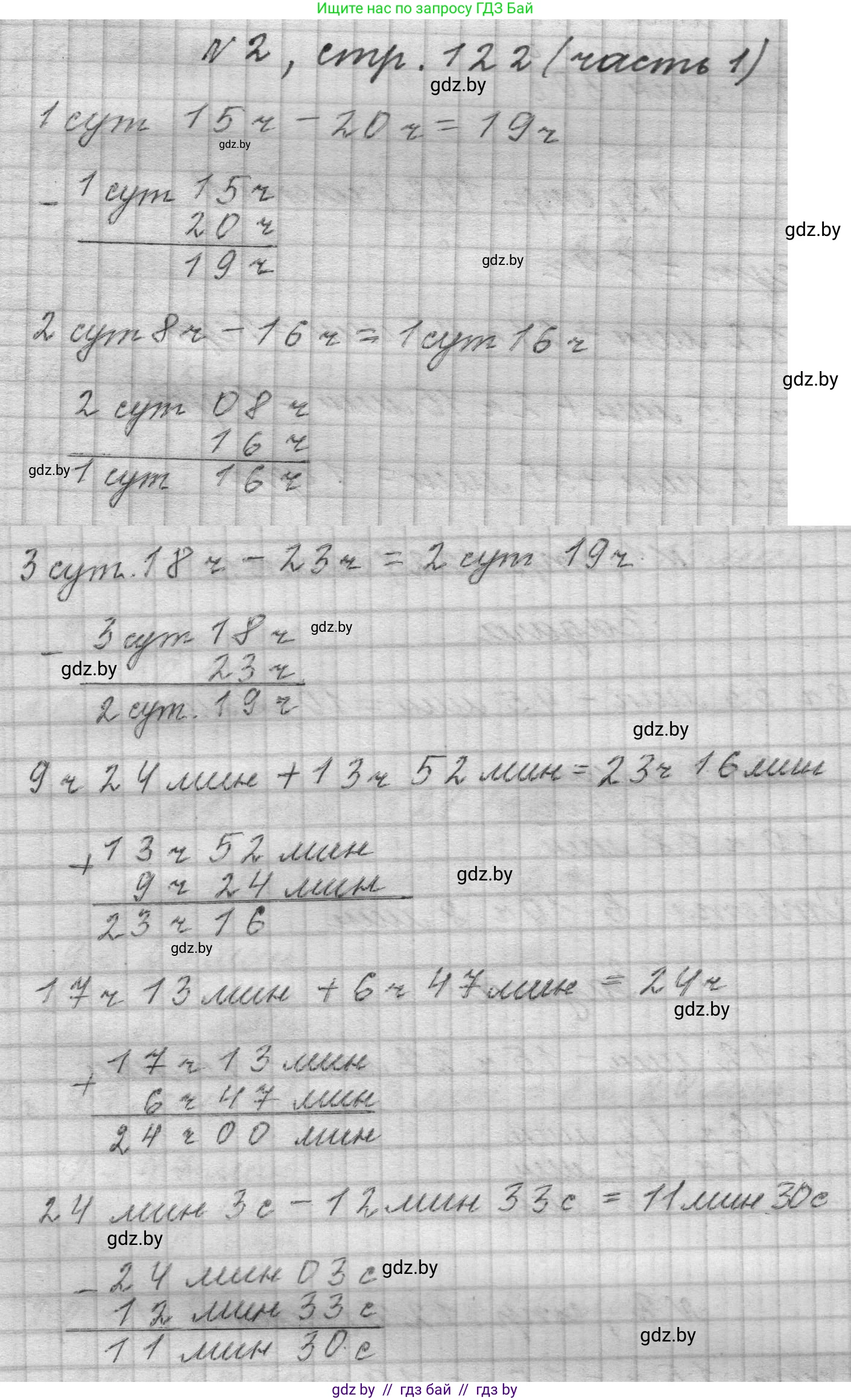
2. Вычисли.

$1 \text{ сут. } 15 \text{ ч} - 20 \text{ ч}$ $9 \text{ ч } 24 \text{ мин} + 13 \text{ ч } 52 \text{ мин}$

$2 \text{ сут. } 8 \text{ ч} - 16 \text{ ч}$ $17 \text{ ч } 13 \text{ мин} + 6 \text{ ч } 47 \text{ мин}$

$3 \text{ сут. } 18 \text{ ч} - 23 \text{ ч}$ $24 \text{ мин } 3 \text{ с} - 12 \text{ мин } 33 \text{ с}$

Решение 1. №2 (с. 122)
Математика, 4 класс Учебник, авторы: Муравьева Галина Леонидовна, Урбан Мария Анатольевна, издательство Национальный институт образования, Минск, 2022, розового цвета, Часть 1, страница 122, номер 2, Решение 1
Решение 2. №2 (с. 122)
Математика, 4 класс Учебник, авторы: Муравьева Галина Леонидовна, Урбан Мария Анатольевна, издательство Национальный институт образования, Минск, 2022, розового цвета, Часть 1, страница 122, номер 2, Решение 2
Решение 3. №2 (с. 122)
Математика, 4 класс Учебник, авторы: Муравьева Галина Леонидовна, Урбан Мария Анатольевна, издательство Национальный институт образования, Минск, 2022, розового цвета, Часть 1, страница 122, номер 2, Решение 3 Математика, 4 класс Учебник, авторы: Муравьева Галина Леонидовна, Урбан Мария Анатольевна, издательство Национальный институт образования, Минск, 2022, розового цвета, Часть 1, страница 122, номер 2, Решение 3 (продолжение 2)
Решение 4. №2 (с. 122)

1 сут. 15 ч – 20 ч
Чтобы выполнить вычитание, необходимо перевести единицы времени к общему значению. Удобнее всего перевести сутки в часы, зная, что в 1 сутках 24 часа.
$1 \text{ сут. } 15 \text{ ч} = 1 \cdot 24 \text{ ч} + 15 \text{ ч} = 24 \text{ ч} + 15 \text{ ч} = 39 \text{ ч}$.
Теперь выполним вычитание:
$39 \text{ ч} - 20 \text{ ч} = 19 \text{ ч}$.
Ответ: 19 ч.

2 сут. 8 ч – 16 ч
Из 8 часов нельзя вычесть 16 часов, поэтому мы "займем" 1 сутки из двух и переведем их в часы.
$2 \text{ сут. } 8 \text{ ч} = 1 \text{ сут. } + (1 \text{ сут.} + 8 \text{ ч}) = 1 \text{ сут. } + (24 \text{ ч} + 8 \text{ ч}) = 1 \text{ сут. } 32 \text{ ч}$.
Теперь выполним вычитание часов:
$1 \text{ сут. } 32 \text{ ч} - 16 \text{ ч} = 1 \text{ сут. } (32 - 16) \text{ ч} = 1 \text{ сут. } 16 \text{ ч}$.
Ответ: 1 сут. 16 ч.

3 сут. 18 ч – 23 ч
Так как 18 часов меньше 23 часов, "займем" 1 сутки из трех и переведем их в часы.
$3 \text{ сут. } 18 \text{ ч} = 2 \text{ сут. } + (1 \text{ сут.} + 18 \text{ ч}) = 2 \text{ сут. } + (24 \text{ ч} + 18 \text{ ч}) = 2 \text{ сут. } 42 \text{ ч}$.
Теперь вычтем часы:
$2 \text{ сут. } 42 \text{ ч} - 23 \text{ ч} = 2 \text{ сут. } (42 - 23) \text{ ч} = 2 \text{ сут. } 19 \text{ ч}$.
Ответ: 2 сут. 19 ч.

9 ч 24 мин + 13 ч 52 мин
Сложим часы с часами и минуты с минутами.
$9 \text{ ч} + 13 \text{ ч} = 22 \text{ ч}$.
$24 \text{ мин} + 52 \text{ мин} = 76 \text{ мин}$.
Результат: 22 ч 76 мин. Поскольку 60 минут составляют 1 час, преобразуем 76 минут.
$76 \text{ мин} = 60 \text{ мин} + 16 \text{ мин} = 1 \text{ ч } 16 \text{ мин}$.
Добавим полученный час к общему количеству часов:
$22 \text{ ч} + 1 \text{ ч } 16 \text{ мин} = 23 \text{ ч } 16 \text{ мин}$.
Ответ: 23 ч 16 мин.

17 ч 13 мин + 6 ч 47 мин
Складываем отдельно часы и отдельно минуты.
$17 \text{ ч} + 6 \text{ ч} = 23 \text{ ч}$.
$13 \text{ мин} + 47 \text{ мин} = 60 \text{ мин}$.
Результат: 23 ч 60 мин. Мы знаем, что $60 \text{ мин} = 1 \text{ ч}$.
Прибавим этот час к имеющимся часам:
$23 \text{ ч} + 1 \text{ ч} = 24 \text{ ч}$.
24 часа также равны 1 суткам.
Ответ: 24 ч (или 1 сут.).

24 мин 3 с – 12 мин 33 с
Из 3 секунд нельзя вычесть 33 секунды, поэтому "займем" 1 минуту из 24 и переведем ее в секунды, зная что $1 \text{ мин} = 60 \text{ с}$.
$24 \text{ мин } 3 \text{ с} = 23 \text{ мин } + (1 \text{ мин } + 3 \text{ с}) = 23 \text{ мин } + (60 \text{ с} + 3 \text{ с}) = 23 \text{ мин } 63 \text{ с}$.
Теперь выполним вычитание:
$(23 \text{ мин} - 12 \text{ мин}) + (63 \text{ с} - 33 \text{ с}) = 11 \text{ мин } 30 \text{ с}$.
Ответ: 11 мин 30 с.

Помогло решение? Оставьте отзыв в комментариях ниже.

Присоединяйтесь к Телеграм-группе @gdz_by_belarus

Присоединиться

Мы подготовили для вас ответ c подробным объяснением домашего задания по математике за 4 класс, для упражнения номер 2 расположенного на странице 122 для 1-й части к учебнику 2022 года издания для учащихся школ и гимназий.

Теперь на нашем сайте ГДЗ.ТОП вы всегда легко и бесплатно найдёте условие с правильным ответом на вопрос «Как решить ДЗ» и «Как сделать» задание по математике к упражнению №2 (с. 122), авторов: Муравьева (Галина Леонидовна), Урбан (Мария Анатольевна), 1-й части учебного пособия издательства Национальный институт образования.