Номер 1, страница 42, часть 2 - гдз по математике 4 класс учебник Муравьева, Урбан

Математика, 4 класс Учебник, авторы: Муравьева Галина Леонидовна, Урбан Мария Анатольевна, издательство Национальный институт образования, Минск, 2022, розового цвета, часть 2

Авторы: Муравьева Г. Л., Урбан М. А.

Тип: Учебник

Издательство: Национальный институт образования

Год издания: 2022 - 2025

Часть: 2

Цвет обложки: розовый с учениками

ISBN: 978-985-893-051-6 (общ.), 978-985-893-052-3 (ч. 1), 978-985-594-010-5 (ч. 2)

Допущено Министерством просвещения Российской Федерации

Популярные ГДЗ в 4 классе

Часть 2. Умножение и деление. Урок 88 - номер 1, страница 42.

№1 (с. 42)
Условие. №1 (с. 42)
скриншот условия
Математика, 4 класс Учебник, авторы: Муравьева Галина Леонидовна, Урбан Мария Анатольевна, издательство Национальный институт образования, Минск, 2022, розового цвета, Часть 2, страница 42, номер 1, Условие

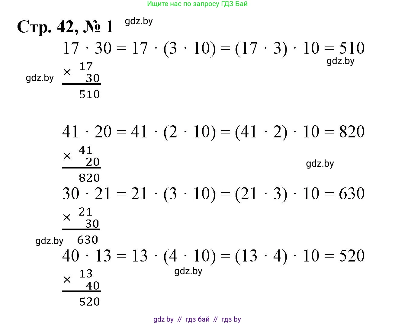
1. Вычисли.

$17 \cdot 30$ $41 \cdot 20$ $30 \cdot 21$ $40 \cdot 13$

Решение 1. №1 (с. 42)
Математика, 4 класс Учебник, авторы: Муравьева Галина Леонидовна, Урбан Мария Анатольевна, издательство Национальный институт образования, Минск, 2022, розового цвета, Часть 2, страница 42, номер 1, Решение 1
Решение 2. №1 (с. 42)
Математика, 4 класс Учебник, авторы: Муравьева Галина Леонидовна, Урбан Мария Анатольевна, издательство Национальный институт образования, Минск, 2022, розового цвета, Часть 2, страница 42, номер 1, Решение 2
Решение 3. №1 (с. 42)
Математика, 4 класс Учебник, авторы: Муравьева Галина Леонидовна, Урбан Мария Анатольевна, издательство Национальный институт образования, Минск, 2022, розового цвета, Часть 2, страница 42, номер 1, Решение 3
Решение 4. №1 (с. 42)

17 ⋅ 30 Для того чтобы вычислить произведение $17$ на $30$, мы можем использовать сочетательное свойство умножения. Число $30$ можно представить как $3 \cdot 10$.
$17 \cdot 30 = 17 \cdot (3 \cdot 10)$
Сначала умножим $17$ на $3$:
$17 \cdot 3 = 51$
Теперь полученный результат умножим на $10$:
$51 \cdot 10 = 510$
Таким образом, $17 \cdot 30 = 510$.
Ответ: 510

41 ⋅ 20 Для вычисления произведения $41$ на $20$, представим $20$ как $2 \cdot 10$.
$41 \cdot 20 = 41 \cdot (2 \cdot 10)$
Сначала умножим $41$ на $2$:
$41 \cdot 2 = 82$
Затем умножим результат на $10$:
$82 \cdot 10 = 820$
Следовательно, $41 \cdot 20 = 820$.
Ответ: 820

30 ⋅ 21 Для удобства вычисления воспользуемся переместительным свойством умножения ($a \cdot b = b \cdot a$), а затем представим $30$ как $3 \cdot 10$.
$30 \cdot 21 = 21 \cdot 30 = 21 \cdot (3 \cdot 10)$
Вычислим произведение $21$ на $3$:
$21 \cdot 3 = 63$
Теперь умножим полученное число на $10$:
$63 \cdot 10 = 630$
Значит, $30 \cdot 21 = 630$.
Ответ: 630

40 ⋅ 13 Используем переместительное свойство умножения и представим $40$ как $4 \cdot 10$.
$40 \cdot 13 = 13 \cdot 40 = 13 \cdot (4 \cdot 10)$
Сначала найдем произведение $13$ и $4$:
$13 \cdot 4 = (10 + 3) \cdot 4 = 10 \cdot 4 + 3 \cdot 4 = 40 + 12 = 52$
Далее умножим результат на $10$:
$52 \cdot 10 = 520$
В итоге, $40 \cdot 13 = 520$.
Ответ: 520

Помогло решение? Оставьте отзыв в комментариях ниже.

Присоединяйтесь к Телеграм-группе @gdz_by_belarus

Присоединиться

Мы подготовили для вас ответ c подробным объяснением домашего задания по математике за 4 класс, для упражнения номер 1 расположенного на странице 42 для 2-й части к учебнику 2022 года издания для учащихся школ и гимназий.

Теперь на нашем сайте ГДЗ.ТОП вы всегда легко и бесплатно найдёте условие с правильным ответом на вопрос «Как решить ДЗ» и «Как сделать» задание по математике к упражнению №1 (с. 42), авторов: Муравьева (Галина Леонидовна), Урбан (Мария Анатольевна), 2-й части учебного пособия издательства Национальный институт образования.