Номер 2, страница 54, часть 2 - гдз по математике 4 класс учебник Муравьева, Урбан

Математика, 4 класс Учебник, авторы: Муравьева Галина Леонидовна, Урбан Мария Анатольевна, издательство Национальный институт образования, Минск, 2022, розового цвета, часть 2

Авторы: Муравьева Г. Л., Урбан М. А.

Тип: Учебник

Издательство: Национальный институт образования

Год издания: 2022 - 2025

Часть: 2

Цвет обложки: розовый с учениками

ISBN: 978-985-893-051-6 (общ.), 978-985-893-052-3 (ч. 1), 978-985-594-010-5 (ч. 2)

Допущено Министерством просвещения Российской Федерации

Популярные ГДЗ в 4 классе

Часть 2. Умножение и деление. Урок 94 - номер 2, страница 54.

№2 (с. 54)
Условие. №2 (с. 54)
скриншот условия
Математика, 4 класс Учебник, авторы: Муравьева Галина Леонидовна, Урбан Мария Анатольевна, издательство Национальный институт образования, Минск, 2022, розового цвета, Часть 2, страница 54, номер 2, Условие

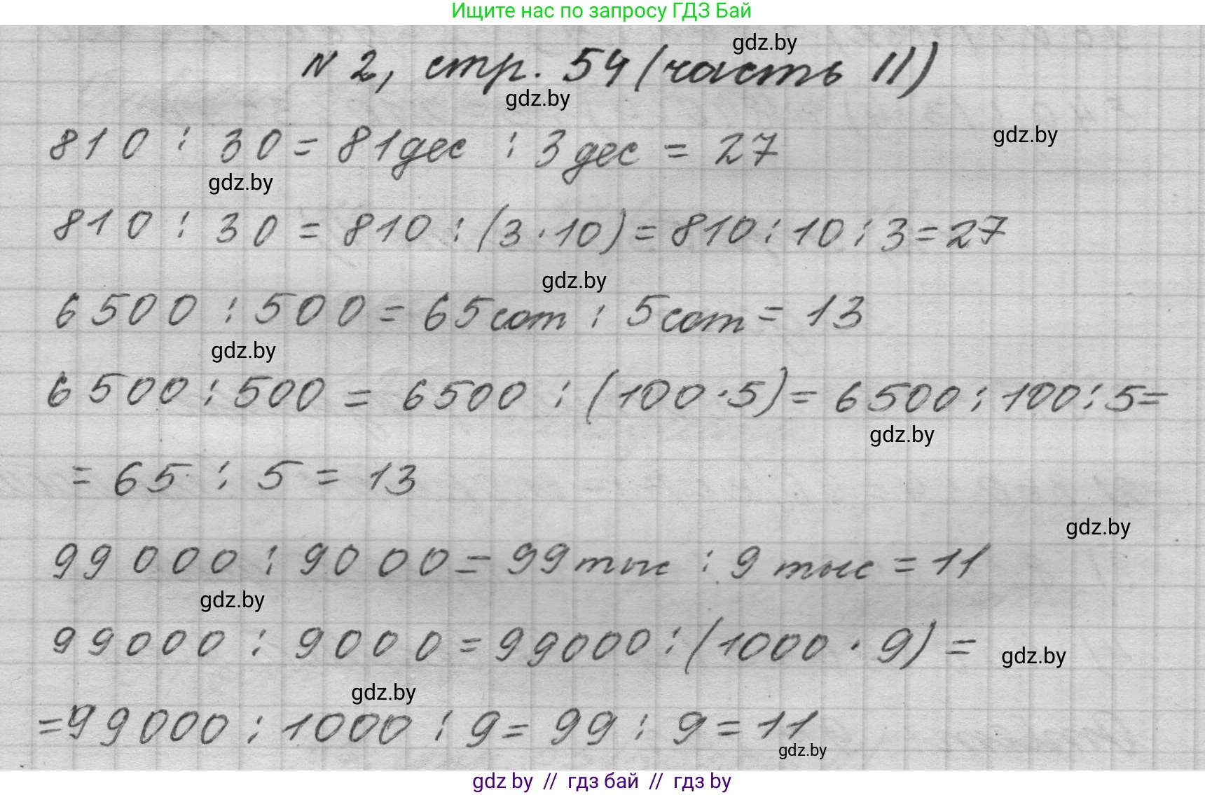
2. Сравни два способа вычислений. Вычисли разными способами.

Способ 1

$630 : 70 = 63 \text{ дес.} : 7 \text{ дес.} = 9$

Способ 2

$630 : 70 = 630 : (7 \cdot 10) = 630 : 10 : 7 = 9$

$810 : 30$ $6500 : 500$ $99000 : 9000$

Решение 1. №2 (с. 54)
Математика, 4 класс Учебник, авторы: Муравьева Галина Леонидовна, Урбан Мария Анатольевна, издательство Национальный институт образования, Минск, 2022, розового цвета, Часть 2, страница 54, номер 2, Решение 1
Решение 2. №2 (с. 54)
Математика, 4 класс Учебник, авторы: Муравьева Галина Леонидовна, Урбан Мария Анатольевна, издательство Национальный институт образования, Минск, 2022, розового цвета, Часть 2, страница 54, номер 2, Решение 2
Решение 3. №2 (с. 54)
Математика, 4 класс Учебник, авторы: Муравьева Галина Леонидовна, Урбан Мария Анатольевна, издательство Национальный институт образования, Минск, 2022, розового цвета, Часть 2, страница 54, номер 2, Решение 3
Решение 4. №2 (с. 54)

В задании представлены два способа деления круглых чисел.

  • Способ 1 основан на укрупнении разрядных единиц. Если делимое и делитель оканчиваются на нули, их можно представить в виде одинаковых единиц (десятков, сотен, тысяч) и выполнить деление. Фактически, это равносильно делению делимого и делителя на 10, 100 или 1000, что не меняет результат. Это свойство частного: $ (a \cdot k) : (b \cdot k) = a : b $.
  • Способ 2 основан на правиле деления числа на произведение. Делитель раскладывается на множители (например, $70 = 7 \cdot 10$), после чего деление выполняется последовательно на каждый множитель. Правило выглядит так: $ a : (b \cdot c) = (a : b) : c $.

Оба способа приводят к одному и тому же ответу и являются, по сути, разными подходами к одной и той же идее — упрощению деления за счет избавления от нулей.


810 : 30

Способ 1: Представим 810 как 81 десяток, а 30 как 3 десятка.
$810 : 30 = 81 \text{ дес.} : 3 \text{ дес.} = 27$

Способ 2: Разложим делитель 30 на множители 10 и 3.
$810 : 30 = 810 : (10 \cdot 3) = (810 : 10) : 3 = 81 : 3 = 27$

Ответ: 27

6500 : 500

Способ 1: Представим 6500 как 65 сотен, а 500 как 5 сотен.
$6500 : 500 = 65 \text{ сот.} : 5 \text{ сот.} = 13$

Способ 2: Разложим делитель 500 на множители 100 и 5.
$6500 : 500 = 6500 : (100 \cdot 5) = (6500 : 100) : 5 = 65 : 5 = 13$

Ответ: 13

99 000 : 9000

Способ 1: Представим 99 000 как 99 тысяч, а 9000 как 9 тысяч.
$99000 : 9000 = 99 \text{ тыс.} : 9 \text{ тыс.} = 11$

Способ 2: Разложим делитель 9000 на множители 1000 и 9.
$99000 : 9000 = 99000 : (1000 \cdot 9) = (99000 : 1000) : 9 = 99 : 9 = 11$

Ответ: 11

Помогло решение? Оставьте отзыв в комментариях ниже.

Присоединяйтесь к Телеграм-группе @gdz_by_belarus

Присоединиться

Мы подготовили для вас ответ c подробным объяснением домашего задания по математике за 4 класс, для упражнения номер 2 расположенного на странице 54 для 2-й части к учебнику 2022 года издания для учащихся школ и гимназий.

Теперь на нашем сайте ГДЗ.ТОП вы всегда легко и бесплатно найдёте условие с правильным ответом на вопрос «Как решить ДЗ» и «Как сделать» задание по математике к упражнению №2 (с. 54), авторов: Муравьева (Галина Леонидовна), Урбан (Мария Анатольевна), 2-й части учебного пособия издательства Национальный институт образования.