Номер 5, страница 5 - гдз по химии 8 класс сборник контрольных и самостоятельных работ Сеген, Власовец

Химия, 8 класс Сборник контрольных и самостоятельных работ, авторы: Сеген Елена Адамовна, Власовец Евгения Николаевна, Гарбар Елена Евгеньевна, Синявская Тамара Степановна, издательство Аверсэв, Минск, 2019, оранжевого цвета

Авторы: Сеген Е. А., Власовец Е. Н., Гарбар Е. Е., Синявская Т. С.

Тип: Сборник контрольных и самостоятельных работ

Издательство: Аверсэв

Год издания: 2019 - 2025

Цвет обложки: оранжевый с колбой

ISBN: 978-985-19-4532-6

Рекомендовано Научно-методическим учреждением "Национальный институт образования" Министерства образования Республики Беларусь

Популярные ГДЗ в 8 классе

Контрольная работа 1. По теме «Повторение основных вопросов курса химии 7 класса. Количественные понятия в химии». Вариант 2. Вариант 2 - номер 5, страница 5.

№5 (с. 5)
Решение. №5 (с. 5)
Химия, 8 класс Сборник контрольных и самостоятельных работ, авторы: Сеген Елена Адамовна, Власовец Евгения Николаевна, Гарбар Елена Евгеньевна, Синявская Тамара Степановна, издательство Аверсэв, Минск, 2019, оранжевого цвета, страница 5, номер 5, Решение
Решение 2. №5 (с. 5)

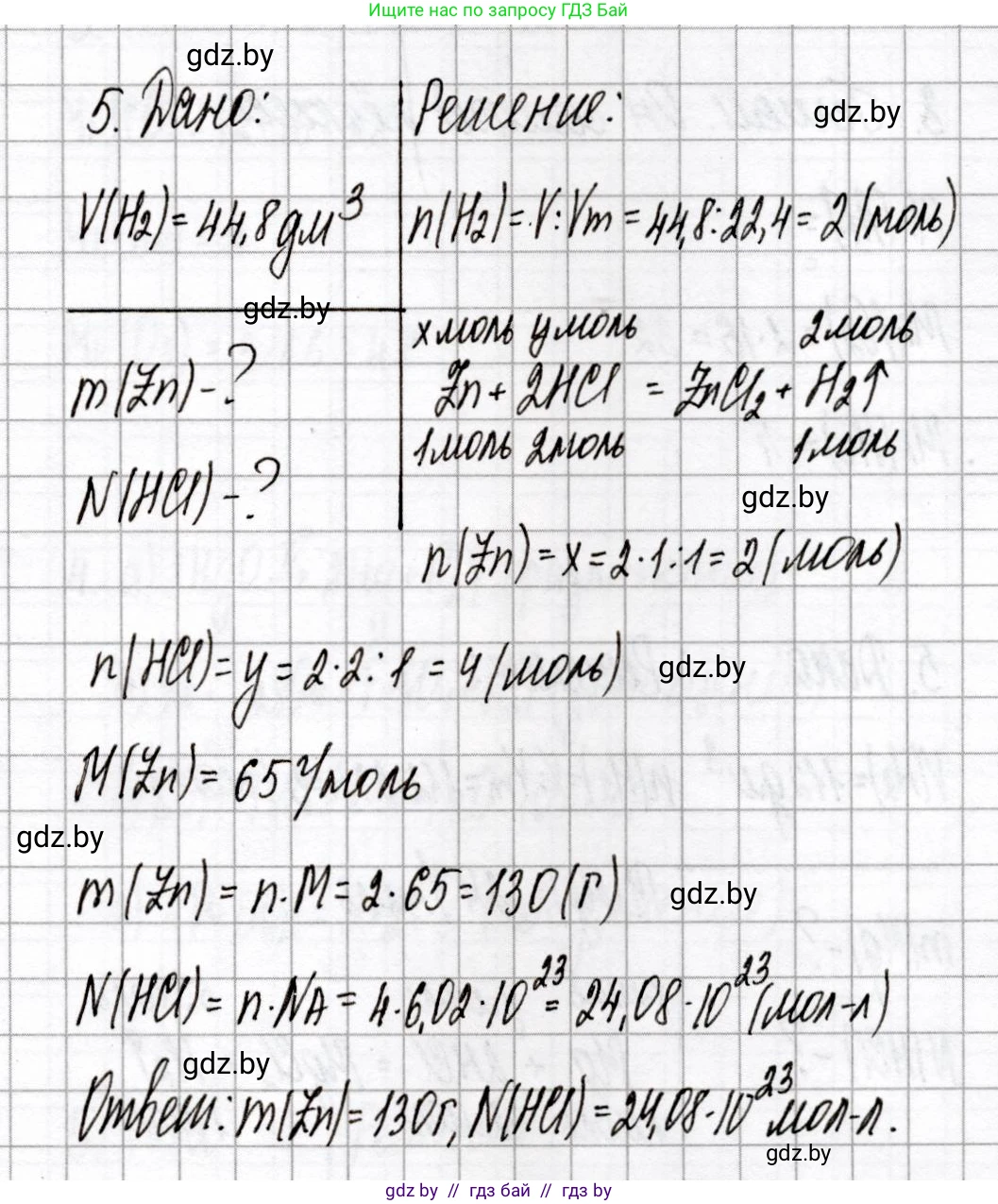
Дано:

объем водорода (н. у.) $V(\text{H}_2) = 44.8 \text{ дм}^3$

Перевод данных в систему СИ:

$V(\text{H}_2) = 44.8 \text{ дм}^3 = 44.8 \times 10^{-3} \text{ м}^3$

молярный объем газов при н.у. $V_m = 22.4 \text{ дм}^3\text{/моль} = 22.4 \times 10^{-3} \text{ м}^3\text{/моль}$

молярная масса цинка $M(\text{Zn}) = 65 \text{ г/моль} = 0.065 \text{ кг/моль}$

число Авогадро $N_A = 6.022 \times 10^{23} \text{ моль}^{-1}$

Найти:

масса прореагировавшего цинка $m(\text{Zn})$

число молекул кислоты $N(\text{HCl})$

Решение:

массу прореагировавшего цинка

1. Запишем уравнение химической реакции взаимодействия цинка с соляной кислотой:

$\text{Zn} + 2\text{HCl} \rightarrow \text{ZnCl}_2 + \text{H}_2$

2. Найдем количество вещества водорода, выделившегося в результате реакции. Для этого используем формулу:

$n = \frac{V}{V_m}$

где $n$ – количество вещества (моль), $V$ – объем газа (дм$^3$), $V_m$ – молярный объем газа при нормальных условиях ($22.4 \text{ дм}^3\text{/моль}$).

$n(\text{H}_2) = \frac{44.8 \text{ дм}^3}{22.4 \text{ дм}^3\text{/моль}} = 2 \text{ моль}$

3. Согласно уравнению реакции, количество вещества цинка, вступившего в реакцию, равно количеству вещества выделившегося водорода (соотношение $\text{Zn}:\text{H}_2 = 1:1$):

$n(\text{Zn}) = n(\text{H}_2) = 2 \text{ моль}$

4. Вычислим массу прореагировавшего цинка. Для этого используем формулу:

$m = n \times M$

где $m$ – масса вещества (г), $n$ – количество вещества (моль), $M$ – молярная масса вещества (г/моль). Молярная масса цинка $M(\text{Zn}) = 65 \text{ г/моль}$.

$m(\text{Zn}) = 2 \text{ моль} \times 65 \text{ г/моль} = 130 \text{ г}$

Ответ: $130 \text{ г}$

число молекул кислоты, вступивших в реакцию

1. Согласно уравнению реакции, количество вещества соляной кислоты вдвое больше количества вещества выделившегося водорода (соотношение $\text{HCl}:\text{H}_2 = 2:1$):

$n(\text{HCl}) = 2 \times n(\text{H}_2) = 2 \times 2 \text{ моль} = 4 \text{ моль}$

2. Вычислим число молекул соляной кислоты, вступивших в реакцию. Для этого используем формулу:

$N = n \times N_A$

где $N$ – число молекул, $n$ – количество вещества (моль), $N_A$ – число Авогадро ($6.022 \times 10^{23} \text{ моль}^{-1}$).

$N(\text{HCl}) = 4 \text{ моль} \times 6.022 \times 10^{23} \text{ моль}^{-1} = 24.088 \times 10^{23} = 2.4088 \times 10^{24} \text{ молекул}$

Ответ: $2.4088 \times 10^{24} \text{ молекул}$

Помогло решение? Оставьте отзыв в комментариях ниже.

Присоединяйтесь к Телеграм-группе @gdz_by_belarus

Присоединиться

Мы подготовили для вас ответ c подробным объяснением домашего задания по химии за 8 класс, для упражнения номер 5 расположенного на странице 5 к сборнику контрольных и самостоятельных работ 2019 года издания для учащихся школ и гимназий.

Теперь на нашем сайте ГДЗ.ТОП вы всегда легко и бесплатно найдёте условие с правильным ответом на вопрос «Как решить ДЗ» и «Как сделать» задание по химии к упражнению №5 (с. 5), авторов: Сеген (Елена Адамовна), Власовец (Евгения Николаевна), Гарбар (Елена Евгеньевна), Синявская (Тамара Степановна), учебного пособия издательства Аверсэв.