Номер 4, страница 10 - гдз по химии 8 класс сборник контрольных и самостоятельных работ Сеген, Власовец

Химия, 8 класс Сборник контрольных и самостоятельных работ, авторы: Сеген Елена Адамовна, Власовец Евгения Николаевна, Гарбар Елена Евгеньевна, Синявская Тамара Степановна, издательство Аверсэв, Минск, 2019, оранжевого цвета

Авторы: Сеген Е. А., Власовец Е. Н., Гарбар Е. Е., Синявская Т. С.

Тип: Сборник контрольных и самостоятельных работ

Издательство: Аверсэв

Год издания: 2019 - 2025

Цвет обложки: оранжевый с колбой

ISBN: 978-985-19-4532-6

Рекомендовано Научно-методическим учреждением "Национальный институт образования" Министерства образования Республики Беларусь

Популярные ГДЗ в 8 классе

Контрольная работа 2. По теме «Основные классы неорганических соединений». Вариант 3. Вариант 3 - номер 4, страница 10.

№4 (с. 10)
Решение. №4 (с. 10)
Химия, 8 класс Сборник контрольных и самостоятельных работ, авторы: Сеген Елена Адамовна, Власовец Евгения Николаевна, Гарбар Елена Евгеньевна, Синявская Тамара Степановна, издательство Аверсэв, Минск, 2019, оранжевого цвета, страница 10, номер 4, Решение
Решение 2. №4 (с. 10)

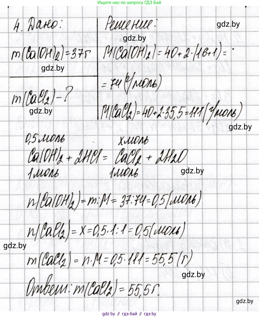
Дано:

$m(Ca(OH)_2) = 37 \text{ г}$

Перевод в СИ:

$m(Ca(OH)_2) = 37 \text{ г} = 0.037 \text{ кг}$

Найти:

$m(CaCl_2) = ?$

Решение:

1. Запишите уравнение реакции нейтрализации, в результате которой образуется хлорид кальция.

Для образования хлорида кальция ($CaCl_2$) в реакции нейтрализации необходимо взять основание, содержащее кальций (гидроксид кальция $Ca(OH)_2$), и кислоту, содержащую хлор (хлороводородная кислота $HCl$). Продуктами реакции нейтрализации являются соль и вода.

Уравнение реакции:

$Ca(OH)_2 + 2HCl \rightarrow CaCl_2 + 2H_2O$

Ответ:

$Ca(OH)_2 + 2HCl \rightarrow CaCl_2 + 2H_2O$

2. Рассчитайте массу (г) соли, если известно, что в реакцию вступает основание массой 37 г.

Сначала найдем молярную массу гидроксида кальция $Ca(OH)_2$:

$M(Ca) = 40.08 \text{ г/моль}$

$M(O) = 16.00 \text{ г/моль}$

$M(H) = 1.008 \text{ г/моль}$

$M(Ca(OH)_2) = M(Ca) + 2 \cdot M(O) + 2 \cdot M(H) = 40.08 + 2 \cdot 16.00 + 2 \cdot 1.008 = 40.08 + 32.00 + 2.016 = 74.096 \text{ г/моль}$

Далее вычислим количество вещества гидроксида кальция:

$n(Ca(OH)_2) = \frac{m(Ca(OH)_2)}{M(Ca(OH)_2)}$

$n(Ca(OH)_2) = \frac{37 \text{ г}}{74.096 \text{ г/моль}} \approx 0.49935 \text{ моль}$

Согласно уравнению реакции $Ca(OH)_2 + 2HCl \rightarrow CaCl_2 + 2H_2O$, мольное соотношение между гидроксидом кальция и хлоридом кальция составляет $1:1$.

Следовательно, количество вещества хлорида кальция равно количеству вещества гидроксида кальция:

$n(CaCl_2) = n(Ca(OH)_2) \approx 0.49935 \text{ моль}$

Теперь найдем молярную массу хлорида кальция $CaCl_2$:

$M(Ca) = 40.08 \text{ г/моль}$

$M(Cl) = 35.45 \text{ г/моль}$

$M(CaCl_2) = M(Ca) + 2 \cdot M(Cl) = 40.08 + 2 \cdot 35.45 = 40.08 + 70.90 = 110.98 \text{ г/моль}$

И, наконец, рассчитаем массу хлорида кальция:

$m(CaCl_2) = n(CaCl_2) \cdot M(CaCl_2)$

$m(CaCl_2) = 0.49935 \text{ моль} \cdot 110.98 \text{ г/моль} \approx 55.418 \text{ г}$

Округлим до трех значащих цифр:

$m(CaCl_2) \approx 55.4 \text{ г}$

Ответ:

Масса соли составляет приблизительно $55.4 \text{ г}$.

Помогло решение? Оставьте отзыв в комментариях ниже.

Присоединяйтесь к Телеграм-группе @gdz_by_belarus

Присоединиться

Мы подготовили для вас ответ c подробным объяснением домашего задания по химии за 8 класс, для упражнения номер 4 расположенного на странице 10 к сборнику контрольных и самостоятельных работ 2019 года издания для учащихся школ и гимназий.

Теперь на нашем сайте ГДЗ.ТОП вы всегда легко и бесплатно найдёте условие с правильным ответом на вопрос «Как решить ДЗ» и «Как сделать» задание по химии к упражнению №4 (с. 10), авторов: Сеген (Елена Адамовна), Власовец (Евгения Николаевна), Гарбар (Елена Евгеньевна), Синявская (Тамара Степановна), учебного пособия издательства Аверсэв.