Номер 5, страница 48 - гдз по химии 8 класс сборник контрольных и самостоятельных работ Сеген, Власовец

Химия, 8 класс Сборник контрольных и самостоятельных работ, авторы: Сеген Елена Адамовна, Власовец Евгения Николаевна, Гарбар Елена Евгеньевна, Синявская Тамара Степановна, издательство Аверсэв, Минск, 2019, оранжевого цвета

Авторы: Сеген Е. А., Власовец Е. Н., Гарбар Е. Е., Синявская Т. С.

Тип: Сборник контрольных и самостоятельных работ

Издательство: Аверсэв

Год издания: 2019 - 2025

Цвет обложки: оранжевый с колбой

ISBN: 978-985-19-4532-6

Рекомендовано Научно-методическим учреждением "Национальный институт образования" Министерства образования Республики Беларусь

Популярные ГДЗ в 8 классе

Самостоятельная работа 8. По теме «Взаимосвязь между основными классами неорганических веществ». Вариант 1. Вариант 1 - номер 5, страница 48.

№5 (с. 48)
Решение. №5 (с. 48)
Химия, 8 класс Сборник контрольных и самостоятельных работ, авторы: Сеген Елена Адамовна, Власовец Евгения Николаевна, Гарбар Елена Евгеньевна, Синявская Тамара Степановна, издательство Аверсэв, Минск, 2019, оранжевого цвета, страница 48, номер 5, Решение
Решение 2. №5 (с. 48)

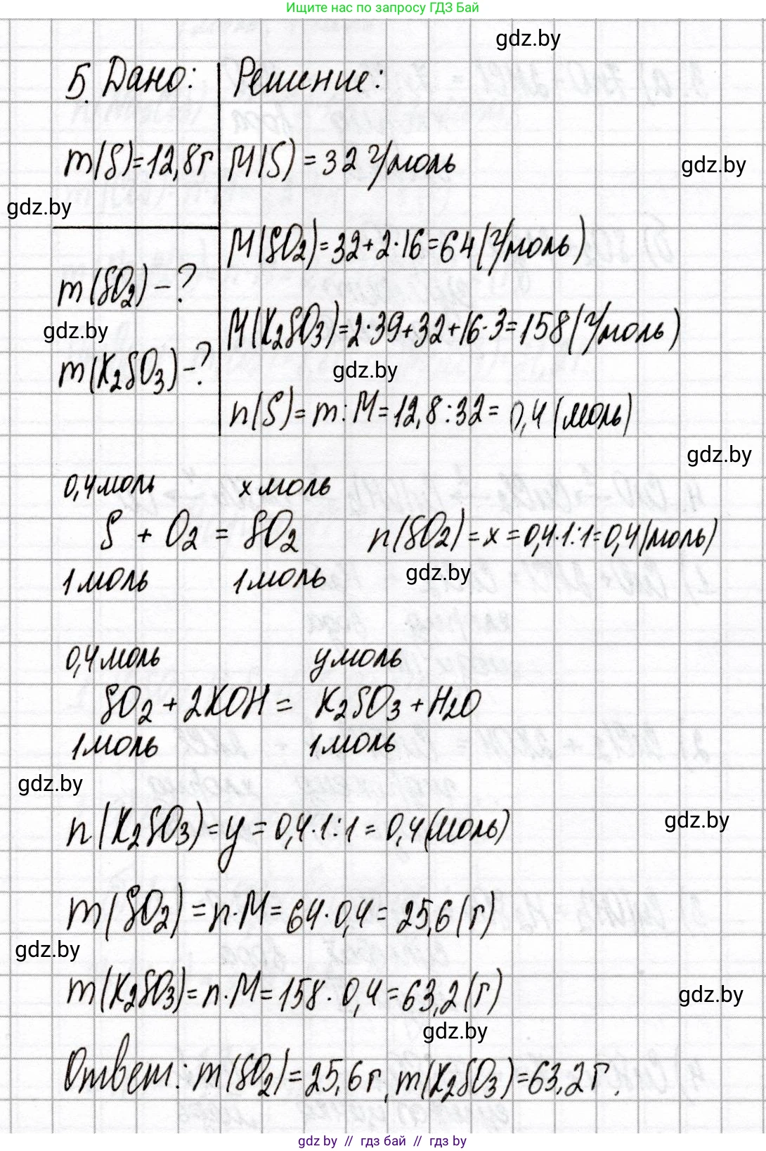
Дано:

Масса серы $m(S) = 12.8 \text{ г}$

Перевод в СИ:

Масса серы $m(S) = 0.0128 \text{ кг}$ (для химических расчетов удобнее использовать граммы, как указано в вопросе)

Найти:

Масса оксида серы(IV) $m(SO_2)$

Масса сульфита калия $m(K_2SO_3)$

Решение:

Сначала определим молярные массы веществ, используя приближенные атомные массы (S $\approx 32 \text{ г/моль}$, O $\approx 16 \text{ г/моль}$, K $\approx 39 \text{ г/моль}$):

  • Молярная масса серы $M(S) \approx 32 \text{ г/моль}$

  • Молярная масса оксида серы(IV) $M(SO_2) = M(S) + 2 \cdot M(O) = 32 + 2 \cdot 16 = 64 \text{ г/моль}$

  • Молярная масса сульфита калия $M(K_2SO_3) = 2 \cdot M(K) + M(S) + 3 \cdot M(O) = 2 \cdot 39 + 32 + 3 \cdot 16 = 78 + 32 + 48 = 158 \text{ г/моль}$

Рассчитаем количество вещества серы:

$n(S) = \frac{m(S)}{M(S)} = \frac{12.8 \text{ г}}{32 \text{ г/моль}} = 0.4 \text{ моль}$

Оксид серы(IV)

Превращение серы в оксид серы(IV) происходит по следующей реакции:

$S + O_2 \rightarrow SO_2$

Согласно стехиометрии реакции, 1 моль серы образует 1 моль оксида серы(IV). Следовательно, количество вещества оксида серы(IV) равно количеству вещества исходной серы:

$n(SO_2) = n(S) = 0.4 \text{ моль}$

Теперь рассчитаем массу оксида серы(IV):

$m(SO_2) = n(SO_2) \cdot M(SO_2) = 0.4 \text{ моль} \cdot 64 \text{ г/моль} = 25.6 \text{ г}$

Ответ: $25.6 \text{ г}$

Сульфит калия

Превращение оксида серы(IV) в сульфит калия обычно происходит при взаимодействии оксида серы(IV) со щелочью, например, гидроксидом калия:

$SO_2 + 2KOH \rightarrow K_2SO_3 + H_2O$

Согласно стехиометрии этой реакции, 1 моль оксида серы(IV) образует 1 моль сульфита калия. Следовательно, количество вещества сульфита калия равно количеству вещества оксида серы(IV):

$n(K_2SO_3) = n(SO_2) = 0.4 \text{ моль}$

Теперь рассчитаем массу сульфита калия:

$m(K_2SO_3) = n(K_2SO_3) \cdot M(K_2SO_3) = 0.4 \text{ моль} \cdot 158 \text{ г/моль} = 63.2 \text{ г}$

Ответ: $63.2 \text{ г}$

Помогло решение? Оставьте отзыв в комментариях ниже.

Присоединяйтесь к Телеграм-группе @gdz_by_belarus

Присоединиться

Мы подготовили для вас ответ c подробным объяснением домашего задания по химии за 8 класс, для упражнения номер 5 расположенного на странице 48 к сборнику контрольных и самостоятельных работ 2019 года издания для учащихся школ и гимназий.

Теперь на нашем сайте ГДЗ.ТОП вы всегда легко и бесплатно найдёте условие с правильным ответом на вопрос «Как решить ДЗ» и «Как сделать» задание по химии к упражнению №5 (с. 48), авторов: Сеген (Елена Адамовна), Власовец (Евгения Николаевна), Гарбар (Елена Евгеньевна), Синявская (Тамара Степановна), учебного пособия издательства Аверсэв.