Номер 749, страница 132 - гдз по химии 8 класс сборник задач Хвалюк, Резяпкин

Химия, 8 класс Сборник задач, авторы: Хвалюк Виктор Николаевич, Резяпкин Виктор Ильич, издательство Адукацыя i выхаванне, Минск, 2019, голубого цвета

Авторы: Хвалюк В. Н., Резяпкин В. И.

Тип: Сборник задач

Издательство: Адукацыя i выхаванне

Год издания: 2019 - 2025

Цвет обложки: голубой, зелёный с кристаллами

ISBN: 978-985-599-064-3

Допущено Министерством образования Республики Беларусь

Популярные ГДЗ в 8 классе

Глава VI. Растворы. Параграф 50. Количественные характеристики состава растворов. Массовая доля растворённого вещества - номер 749, страница 132.

№749 (с. 132)
Условие. №749 (с. 132)
скриншот условия
Химия, 8 класс Сборник задач, авторы: Хвалюк Виктор Николаевич, Резяпкин Виктор Ильич, издательство Адукацыя i выхаванне, Минск, 2019, голубого цвета, страница 132, номер 749, Условие

749. К раствору гидроксида калия массой 34,0 г с массовой долей щёлочи, равной 2,40 %, добавили оксид калия массой 0,500 г. Рассчитайте массовую долю щёлочи в полученном растворе.

Решение. №749 (с. 132)
Химия, 8 класс Сборник задач, авторы: Хвалюк Виктор Николаевич, Резяпкин Виктор Ильич, издательство Адукацыя i выхаванне, Минск, 2019, голубого цвета, страница 132, номер 749, Решение
Решение 2. №749 (с. 132)

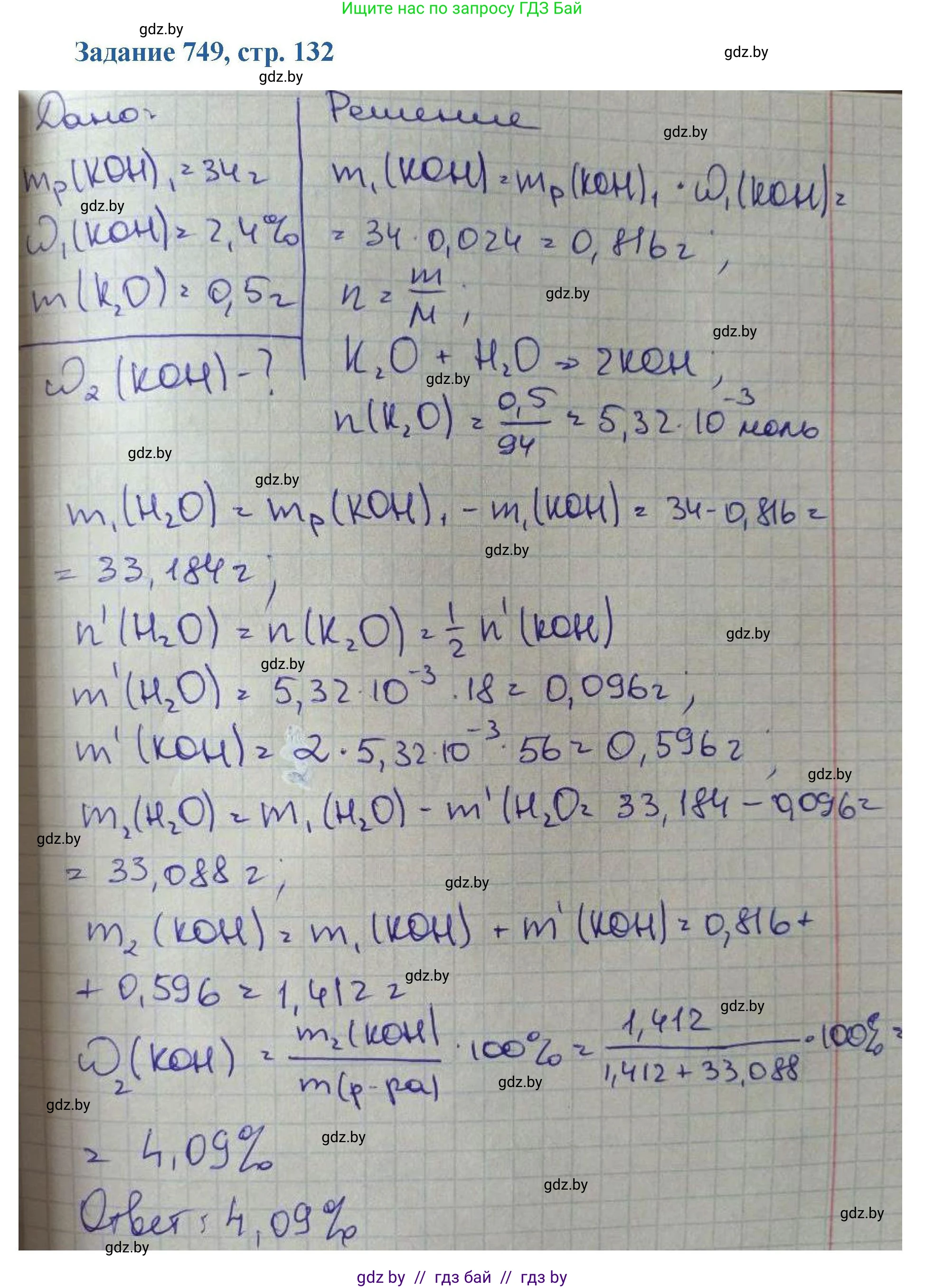
Дано:

$m_{р-ра}(KOH)_{нач} = 34,0 \text{ г}$

$\omega(KOH)_{нач} = 2,40 \% = 0,0240$

$m(K_2O) = 0,500 \text{ г}$

Найти:

$\omega(KOH)_{кон} - ?$

Решение:

1. Сначала определим массу гидроксида калия ($KOH$), которая уже содержится в исходном растворе. Масса растворенного вещества равна произведению массы раствора на его массовую долю.

$m(KOH)_{нач} = m_{р-ра}(KOH)_{нач} \cdot \omega(KOH)_{нач} = 34,0 \text{ г} \cdot 0,0240 = 0,816 \text{ г}$

2. При добавлении оксида калия ($K_2O$) в раствор, он вступает в реакцию с водой с образованием дополнительного количества гидроксида калия. Уравнение этой химической реакции выглядит так:

$K_2O + H_2O \rightarrow 2KOH$

3. Для дальнейших расчётов нам понадобятся молярные массы веществ, участвующих в реакции. Используя относительные атомные массы из периодической таблицы ($Ar(K) \approx 39,1, Ar(O) \approx 16,0, Ar(H) \approx 1,0$):

$M(K_2O) = 2 \cdot 39,1 + 16,0 = 94,2 \text{ г/моль}$

$M(KOH) = 39,1 + 16,0 + 1,0 = 56,1 \text{ г/моль}$

4. Теперь рассчитаем, какая масса гидроксида калия образуется из добавленных $0,500 \text{ г}$ оксида калия. Это можно сделать с помощью пропорции, основанной на стехиометрии реакции:

Из $94,2 \text{ г } K_2O$ (1 моль) образуется $2 \cdot 56,1 = 112,2 \text{ г } KOH$ (2 моль).

Следовательно, из $0,500 \text{ г } K_2O$ образуется $m(KOH)_{обр}$:

$m(KOH)_{обр} = \frac{0,500 \text{ г} \cdot 112,2 \text{ г}}{94,2 \text{ г}} \approx 0,5955 \text{ г}$

5. Теперь мы можем найти общую массу гидроксида калия в конечном растворе, сложив начальную массу и массу, образовавшуюся в ходе реакции:

$m(KOH)_{общ} = m(KOH)_{нач} + m(KOH)_{обр} = 0,816 \text{ г} + 0,5955 \text{ г} = 1,4115 \text{ г}$

6. Масса конечного раствора будет равна сумме массы исходного раствора и массы добавленного оксида калия, так как оксид полностью растворяется и реагирует:

$m_{р-ра}(кон) = m_{р-ра}(KOH)_{нач} + m(K_2O) = 34,0 \text{ г} + 0,500 \text{ г} = 34,500 \text{ г}$

7. Наконец, рассчитаем массовую долю щёлочи в полученном растворе по формуле:

$\omega(KOH)_{кон} = \frac{m(KOH)_{общ}}{m_{р-ра}(кон)} \cdot 100\%$

$\omega(KOH)_{кон} = \frac{1,4115 \text{ г}}{34,500 \text{ г}} \cdot 100\% \approx 4,0913...\%$

С учётом значащих цифр в исходных данных (три), округляем результат до сотых долей процента.

$\omega(KOH)_{кон} \approx 4,09\%$

Ответ: массовая доля щёлочи в полученном растворе составляет $4,09\%$.

Помогло решение? Оставьте отзыв в комментариях ниже.

Присоединяйтесь к Телеграм-группе @gdz_by_belarus

Присоединиться

Мы подготовили для вас ответ c подробным объяснением домашего задания по химии за 8 класс, для упражнения номер 749 расположенного на странице 132 к сборнику задач 2019 года издания для учащихся школ и гимназий.

Теперь на нашем сайте ГДЗ.ТОП вы всегда легко и бесплатно найдёте условие с правильным ответом на вопрос «Как решить ДЗ» и «Как сделать» задание по химии к упражнению №749 (с. 132), авторов: Хвалюк (Виктор Николаевич), Резяпкин (Виктор Ильич), учебного пособия издательства Адукацыя i выхаванне.