Номер 781, страница 137 - гдз по химии 8 класс сборник задач Хвалюк, Резяпкин

Химия, 8 класс Сборник задач, авторы: Хвалюк Виктор Николаевич, Резяпкин Виктор Ильич, издательство Адукацыя i выхаванне, Минск, 2019, голубого цвета

Авторы: Хвалюк В. Н., Резяпкин В. И.

Тип: Сборник задач

Издательство: Адукацыя i выхаванне

Год издания: 2019 - 2025

Цвет обложки: голубой, зелёный с кристаллами

ISBN: 978-985-599-064-3

Допущено Министерством образования Республики Беларусь

Популярные ГДЗ в 8 классе

Готовимся к олимпиадам - номер 781, страница 137.

№781 (с. 137)
Условие. №781 (с. 137)
скриншот условия
Химия, 8 класс Сборник задач, авторы: Хвалюк Виктор Николаевич, Резяпкин Виктор Ильич, издательство Адукацыя i выхаванне, Минск, 2019, голубого цвета, страница 137, номер 781, Условие

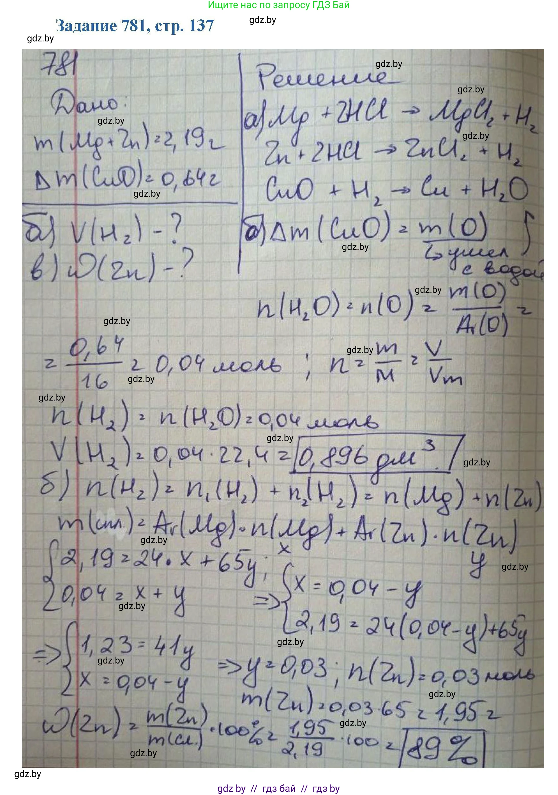
781. Сплав магния с цинком массой 2,19 г растворили в избытке соляной кислоты. Выделившийся газ пропустили над нагретым оксидом меди(II), взятым в избытке. При этом масса оксида меди(II) уменьшилась на 0,64 г.

a) Приведите уравнения химических реакций, протекающих в описанном эксперименте.

б) Рассчитайте объём (н. у.) выделившегося газа.

в) Чему равна массовая доля цинка в сплаве?

Решение. №781 (с. 137)
Химия, 8 класс Сборник задач, авторы: Хвалюк Виктор Николаевич, Резяпкин Виктор Ильич, издательство Адукацыя i выхаванне, Минск, 2019, голубого цвета, страница 137, номер 781, Решение
Решение 2. №781 (с. 137)

Дано:

$m(сплава \ Mg+Zn) = 2,19 \ г$
$\Delta m(CuO) = 0,64 \ г$

Найти:

а) Уравнения химических реакций - ?
б) $V(H_2) \ (н.у.)$ - ?
в) $\omega(Zn)$ - ?

Решение:

а) Приведите уравнения химических реакций, протекающих в описанном эксперименте.

1. Магний и цинк, как металлы, стоящие в ряду активности до водорода, реагируют с соляной кислотой с выделением водорода и образованием солей:

$Mg + 2HCl \rightarrow MgCl_2 + H_2 \uparrow$

$Zn + 2HCl \rightarrow ZnCl_2 + H_2 \uparrow$

2. Выделившийся водород ($H_2$) реагирует с нагретым оксидом меди(II) ($CuO$), восстанавливая медь:

$H_2 + CuO \xrightarrow{t} Cu + H_2O$

Ответ: $Mg + 2HCl \rightarrow MgCl_2 + H_2 \uparrow$; $Zn + 2HCl \rightarrow ZnCl_2 + H_2 \uparrow$; $H_2 + CuO \xrightarrow{t} Cu + H_2O$.

б) Рассчитайте объём (н. у.) выделившегося газа.

Газ, выделившийся при реакции сплава с кислотой, — это водород ($H_2$). При его пропускании над оксидом меди(II) масса твердого вещества ($CuO$) уменьшается, так как кислород из оксида соединяется с водородом, образуя воду. Уменьшение массы равно массе кислорода, вступившего в реакцию.

$m(O) = \Delta m(CuO) = 0,64 \ г$

Вычислим количество вещества атомарного кислорода (молярная масса $M(O) = 16 \ г/моль$):

$n(O) = \frac{m(O)}{M(O)} = \frac{0,64 \ г}{16 \ г/моль} = 0,04 \ моль$

Из уравнения реакции $H_2 + CuO \rightarrow Cu + H_2O$ видно, что на 1 моль атомов кислорода (в составе $CuO$) приходится 1 моль молекул водорода. Следовательно:

$n(H_2) = n(O) = 0,04 \ моль$

Объём водорода при нормальных условиях (н. у.) находим, используя молярный объём газов $V_m = 22,4 \ л/моль$:

$V(H_2) = n(H_2) \cdot V_m = 0,04 \ моль \cdot 22,4 \ л/моль = 0,896 \ л$

Ответ: 0,896 л.

в) Чему равна массовая доля цинка в сплаве?

Общее количество вещества водорода ($n_{общ}(H_2) = 0,04 \ моль$) получилось в результате реакций и магния, и цинка с кислотой.

Пусть в сплаве содержится $x$ моль магния ($n(Mg) = x$) и $y$ моль цинка ($n(Zn) = y$).

Из уравнений реакций $Mg$ и $Zn$ с $HCl$ следует, что $n(H_2) = n(металла)$. Тогда:

$n_{общ}(H_2) = n(Mg) + n(Zn) \implies x + y = 0,04$

Общая масса сплава равна сумме масс магния и цинка. Используем молярные массы: $M(Mg) \approx 24 \ г/моль$, $M(Zn) \approx 65 \ г/моль$.

$m(сплава) = m(Mg) + m(Zn) = x \cdot M(Mg) + y \cdot M(Zn) = 2,19 \ г$

$24x + 65y = 2,19$

Составим и решим систему уравнений:

$\begin{cases} x + y = 0,04 \\ 24x + 65y = 2,19 \end{cases}$

Из первого уравнения выразим $x$: $x = 0,04 - y$.

Подставим во второе уравнение:

$24(0,04 - y) + 65y = 2,19$

$0,96 - 24y + 65y = 2,19$

$41y = 2,19 - 0,96$

$41y = 1,23$

$y = \frac{1,23}{41} = 0,03 \ моль$

Итак, количество вещества цинка $n(Zn) = 0,03 \ моль$.

Найдем массу цинка в сплаве:

$m(Zn) = n(Zn) \cdot M(Zn) = 0,03 \ моль \cdot 65 \ г/моль = 1,95 \ г$

Рассчитаем массовую долю цинка в сплаве:

$\omega(Zn) = \frac{m(Zn)}{m(сплава)} \cdot 100\% = \frac{1,95 \ г}{2,19 \ г} \cdot 100\% \approx 89,04\%$

Ответ: 89,04 %.

Помогло решение? Оставьте отзыв в комментариях ниже.

Присоединяйтесь к Телеграм-группе @gdz_by_belarus

Присоединиться

Мы подготовили для вас ответ c подробным объяснением домашего задания по химии за 8 класс, для упражнения номер 781 расположенного на странице 137 к сборнику задач 2019 года издания для учащихся школ и гимназий.

Теперь на нашем сайте ГДЗ.ТОП вы всегда легко и бесплатно найдёте условие с правильным ответом на вопрос «Как решить ДЗ» и «Как сделать» задание по химии к упражнению №781 (с. 137), авторов: Хвалюк (Виктор Николаевич), Резяпкин (Виктор Ильич), учебного пособия издательства Адукацыя i выхаванне.