Номер 785, страница 138 - гдз по химии 8 класс сборник задач Хвалюк, Резяпкин

Химия, 8 класс Сборник задач, авторы: Хвалюк Виктор Николаевич, Резяпкин Виктор Ильич, издательство Адукацыя i выхаванне, Минск, 2019, голубого цвета

Авторы: Хвалюк В. Н., Резяпкин В. И.

Тип: Сборник задач

Издательство: Адукацыя i выхаванне

Год издания: 2019 - 2025

Цвет обложки: голубой, зелёный с кристаллами

ISBN: 978-985-599-064-3

Допущено Министерством образования Республики Беларусь

Популярные ГДЗ в 8 классе

Готовимся к олимпиадам - номер 785, страница 138.

№785 (с. 138)
Условие. №785 (с. 138)
скриншот условия
Химия, 8 класс Сборник задач, авторы: Хвалюк Виктор Николаевич, Резяпкин Виктор Ильич, издательство Адукацыя i выхаванне, Минск, 2019, голубого цвета, страница 138, номер 785, Условие

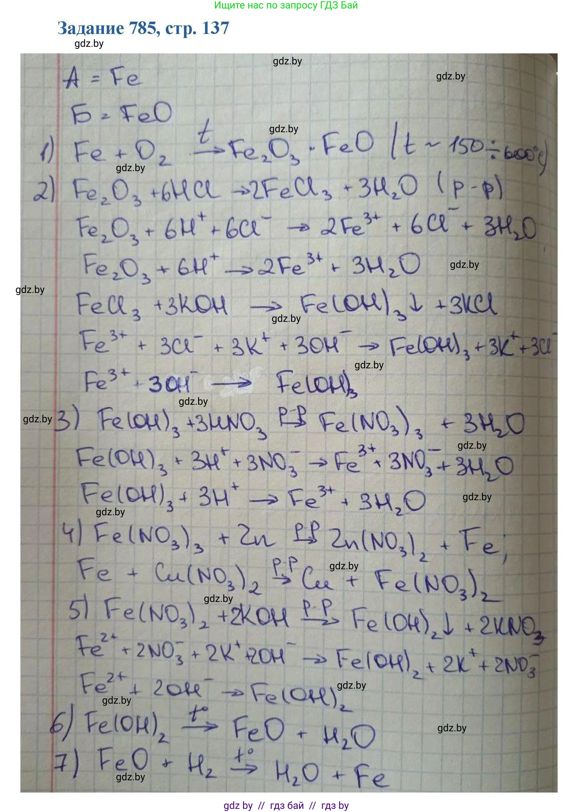
785. Установите, какие вещества зашифрованы под буквами А и Б. Приведите уравнения химических реакций, с помощью которых можно осуществить следующие превращения:

$А \rightarrow Fe_2O_3 \rightarrow Fe(OH)_3 \rightarrow Fe(NO_3)_3 \rightarrow Fe(NO_3)_2 \rightarrow Fe(OH)_2 \rightarrow Б \rightarrow А$.

Для каждой реакции укажите условия её проведения. Для реакций, протекающих в растворе, приведите ионно-молекулярные уравнения.

Решение. №785 (с. 138)
Химия, 8 класс Сборник задач, авторы: Хвалюк Виктор Николаевич, Резяпкин Виктор Ильич, издательство Адукацыя i выхаванне, Минск, 2019, голубого цвета, страница 138, номер 785, Решение
Решение 2. №785 (с. 138)

Исходя из предложенной цепочки превращений, можно установить, что вещество А — это простое вещество железо ($Fe$), а вещество Б — это оксид железа(II) ($FeO$).

Решение

1. $A \rightarrow Fe_2O_3$
Чтобы получить оксид железа(III) из железа, необходимо провести реакцию горения железа в кислороде.
Молекулярное уравнение: $4Fe + 3O_2 \xrightarrow{t^\circ} 2Fe_2O_3$
Условия проведения: нагревание (сжигание) железа на воздухе или в чистом кислороде.
Реакция не протекает в растворе, поэтому ионное уравнение не составляется.

Ответ: $4Fe + 3O_2 \xrightarrow{t^\circ} 2Fe_2O_3$

2. $Fe_2O_3 \rightarrow Fe(OH)_3$
Оксид железа(III) является нерастворимым в воде основным оксидом. Чтобы получить гидроксид, необходимо сначала перевести оксид в растворимую соль (например, действием кислоты), а затем на полученную соль подействовать щелочью.
1) $Fe_2O_3 + 6HNO_3 \rightarrow 2Fe(NO_3)_3 + 3H_2O$
2) $Fe(NO_3)_3 + 3NaOH \rightarrow Fe(OH)_3\downarrow + 3NaNO_3$
Приводим уравнение второй стадии, в результате которой образуется целевой продукт — гидроксид железа(III) в виде бурого осадка.
Условия проведения: реакция протекает в водном растворе при обычных условиях.
Полное ионно-молекулярное уравнение: $Fe^{3+} + 3NO_3^- + 3Na^+ + 3OH^- \rightarrow Fe(OH)_3\downarrow + 3Na^+ + 3NO_3^-$
Сокращенное ионно-молекулярное уравнение: $Fe^{3+} + 3OH^- \rightarrow Fe(OH)_3\downarrow$

Ответ: $Fe(NO_3)_3 + 3NaOH \rightarrow Fe(OH)_3\downarrow + 3NaNO_3$

3. $Fe(OH)_3 \rightarrow Fe(NO_3)_3$
Гидроксид железа(III) — нерастворимое основание, которое реагирует с кислотами с образованием соли и воды (реакция нейтрализации). Для получения нитрата железа(III) используется азотная кислота.
Молекулярное уравнение: $Fe(OH)_3 + 3HNO_3 \rightarrow Fe(NO_3)_3 + 3H_2O$
Условия проведения: реакция протекает в водном растворе при обычных условиях.
Полное ионно-молекулярное уравнение: $Fe(OH)_3\downarrow + 3H^+ + 3NO_3^- \rightarrow Fe^{3+} + 3NO_3^- + 3H_2O$
Сокращенное ионно-молекулярное уравнение: $Fe(OH)_3\downarrow + 3H^+ \rightarrow Fe^{3+} + 3H_2O$

Ответ: $Fe(OH)_3 + 3HNO_3 \rightarrow Fe(NO_3)_3 + 3H_2O$

4. $Fe(NO_3)_3 \rightarrow Fe(NO_3)_2$
Для восстановления железа со степени окисления +3 до +2 можно использовать восстановитель, например, металлическое железо.
Молекулярное уравнение: $2Fe(NO_3)_3 + Fe \rightarrow 3Fe(NO_3)_2$
Условия проведения: реакция протекает в водном растворе, для ускорения можно незначительно нагреть.
Полное ионно-молекулярное уравнение: $2Fe^{3+} + 6NO_3^- + Fe_{(s)} \rightarrow 3Fe^{2+} + 6NO_3^-$
Сокращенное ионно-молекулярное уравнение: $2Fe^{3+} + Fe_{(s)} \rightarrow 3Fe^{2+}$

Ответ: $2Fe(NO_3)_3 + Fe \rightarrow 3Fe(NO_3)_2$

5. $Fe(NO_3)_2 \rightarrow Fe(OH)_2$
Для получения гидроксида железа(II) из его соли необходимо подействовать на раствор соли щелочью. В результате реакции выпадает осадок гидроксида железа(II) серо-зеленого цвета.
Молекулярное уравнение: $Fe(NO_3)_2 + 2NaOH \rightarrow Fe(OH)_2\downarrow + 2NaNO_3$
Условия проведения: реакцию необходимо проводить в инертной атмосфере (без доступа кислорода воздуха), так как гидроксид железа(II) легко окисляется до гидроксида железа(III).
Полное ионно-молекулярное уравнение: $Fe^{2+} + 2NO_3^- + 2Na^+ + 2OH^- \rightarrow Fe(OH)_2\downarrow + 2Na^+ + 2NO_3^-$
Сокращенное ионно-молекулярное уравнение: $Fe^{2+} + 2OH^- \rightarrow Fe(OH)_2\downarrow$

Ответ: $Fe(NO_3)_2 + 2NaOH \rightarrow Fe(OH)_2\downarrow + 2NaNO_3$

6. $Fe(OH)_2 \rightarrow Б$
При нагревании гидроксида железа(II) происходит его разложение на оксид железа(II) (вещество Б) и воду.
Молекулярное уравнение: $Fe(OH)_2 \xrightarrow{t^\circ} FeO + H_2O$
Условия проведения: нагревание без доступа воздуха, чтобы предотвратить окисление до $Fe_2O_3$.
Реакция не протекает в растворе, поэтому ионное уравнение не составляется.

Ответ: $Fe(OH)_2 \xrightarrow{t^\circ} FeO + H_2O$

7. $Б \rightarrow А$
Для получения металлического железа (вещество А) из его оксида (вещество Б) используют сильные восстановители при высокой температуре (например, в доменном процессе).
Молекулярное уравнение: $FeO + CO \xrightarrow{t^\circ} Fe + CO_2$
Условия проведения: высокая температура.
Реакция не протекает в растворе, поэтому ионное уравнение не составляется.

Ответ: $FeO + CO \xrightarrow{t^\circ} Fe + CO_2$

Помогло решение? Оставьте отзыв в комментариях ниже.

Присоединяйтесь к Телеграм-группе @gdz_by_belarus

Присоединиться

Мы подготовили для вас ответ c подробным объяснением домашего задания по химии за 8 класс, для упражнения номер 785 расположенного на странице 138 к сборнику задач 2019 года издания для учащихся школ и гимназий.

Теперь на нашем сайте ГДЗ.ТОП вы всегда легко и бесплатно найдёте условие с правильным ответом на вопрос «Как решить ДЗ» и «Как сделать» задание по химии к упражнению №785 (с. 138), авторов: Хвалюк (Виктор Николаевич), Резяпкин (Виктор Ильич), учебного пособия издательства Адукацыя i выхаванне.